RESOLUCIÓN 4211 DE 2019
(noviembre 14)
Diario Oficial No. 51.152 de 29 de noviembre 2019
MINISTERIO DE HACIENDA Y CRÉDITO PÚBLICO
<NOTA DE VIGENCIA: Resolución derogada por el artículo 18 de la Resolución 1357 de 2022>
Por la cual se establecen las características y se fija el procedimiento para la colocación en el mercado primario de los “Títulos de Tesorería (TES) - Clase B” destinados a realizar operaciones temporales de tesorería, financiar apropiaciones del Presupuesto General de la Nación, regular la liquidez de la economía y efectuar Operaciones de Transferencia Temporal de Valores.
EL DIRECTOR GENERAL DE CRÉDITO PÚBLICO Y TESORO NACIONAL,
en ejercicio de sus facultades legales, en especial las que le confiere el parágrafo 2 del artículo 41 de la Ley 80 de 1993, el artículo 107 del Decreto 2150 del 1995, la Resolución número 2822 de 2002 el artículo 6o de la Ley 51 de 1990 y el artículo 146 de la Ley 1753 de 2015 y
CONSIDERANDO
Que el parágrafo 2 del artículo 41 de la Ley 80 de 1993 establece que dentro de las operaciones de crédito público se encuentra la emisión, suscripción y colocación de títulos de deuda pública.
Que el artículo 107 del Decreto 2150 de 1995 señala que el Ministro de Hacienda y Crédito Público podrá delegar en el Director General de Crédito Público la facultad de autorizar la celebración de operaciones de crédito público, operaciones asimiladas y operaciones de manejo de deuda pública de las entidades estatales.
Que en uso de la facultad de delegación de que trata el inciso anterior, mediante Resolución número 2822 de 2002, el Ministro de Hacienda y Crédito Público delegó en el Director General de Crédito Público la colocación de Títulos de Tesorería Clase B con plazo igual o mayor a un año de que tratan los artículos 4o y 6o de la Ley 51 de 1990 por medio de sistemas de oferta, remate o subastas.
Para estos efectos, el Director General de Crédito Público podrá utilizar como intermediarios a las personas legalmente habilitadas, crear, regular y modificar programas y mecanismos de selección de las mismas que sean compatibles con las políticas de financiamiento de la Nación y, establecer las características generales y especiales de los títulos que se coloquen por medio de sistemas de oferta, remate o subastas, así como los procedimientos de colocación de los mismos, sin perjuicio de las competencias de la Junta Directiva del Banco de la República.
Que el artículo 2o de la Resolución número 2822 de 2002 establece que “El Director General de Crédito Público está facultado para desarrollar las funciones relacionadas con los programas y mecanismos mencionados en el artículo anterior, las cuales se ejercerán mediante circulares o resoluciones de carácter general o particular, sin perjuicio de la actividad de contratación directa que le corresponde a este Despacho”.
Que el artículo 6o de la Ley 51 de 1990 determina las características de los Títulos de Tesorería de la siguiente manera:
“Los Títulos de Tesorería tendrán las siguientes características:
a) Serán títulos de deuda pública interna libremente negociables;
b) Serán de dos clases: Los de la clase A que sustituirán a la deuda contraída en Operaciones de Mercado Abierto (OMAS) (Títulos de Participación) y que podrán ser emitidos para sustituir la deuda interna de la Nación con el Banco de la República en los términos del artículo anterior. Los de la clase B, que se emitirán para sustituir a los Títulos de Ahorro Nacional (TAN), obtener recursos para apropiaciones presupuesta/es, efectuar operaciones temporales de Tesorería del Gobierno Nacional y para regular la liquidez de la economía.
Para este último propósito, se autoriza al Gobierno nacional para emitir, colocar y mantener en circulación títulos de Tesorería TES Clase B para que a través de este instrumento el Banco de la República regule la liquidez de la economía. Los recursos provenientes de dichas colocaciones, no podrán utilizarse para financiar apropiaciones del Presupuesto General de la Nación y serán administrados mediante depósito remunerado en el Banco de la República. Lo anterior sin perjuicio de la competencia del Banco de la República para emitir sus propios títulos”.
Que el artículo 146 de la Ley 1753 de 2015 adicionó un inciso al literal b) del artículo 6o de la Ley 51 de 1990 y estableció lo siguiente: “Se autoriza al Gobierno nacional para emitir, colocar y mantener en circulación Títulos de Tesorería TES para efectuar Operaciones de Transferencia Temporal de Valores. El Gobierno nacional reglamentará las condiciones generales para la realización de las operaciones de Transferencia Temporal de Valores. Los recursos provenientes de dichas colocaciones, no podrán utilizarse para financiar apropiaciones del Presupuesto General de la Nación”,
RESUELVE:
ARTÍCULO 1o. ÁMBITO DE APLICACIÓN Y CONTENIDO. <Resolución derogada por el artículo 18 de la Resolución 1357 de 2022> La presente Resolución establece las características generales y especiales, así como el procedimiento de colocación en el mercado primario de los “Títulos de Tesorería TES - Clase B” destinados a financiar operaciones temporales de tesorería, apropiaciones del Presupuesto General de la Nación, regular la liquidez de la economía y efectuar operaciones de Transferencia Temporal de Valores, conforme al siguiente contenido:
CAPÍTULO I
“Títulos de Tesorería TES - Clase B” que se coloquen en el mercado primario, destinados a financiar operaciones temporales de tesorería
ARTÍCULO 2o. CARACTERÍSTICAS GENERALES Y ESPECIALES. <Resolución derogada por el artículo 18 de la Resolución 1357 de 2022>
a) Origen
Los “Títulos de Tesorería TES - Clase B” que se coloquen en el mercado primario, destinados a financiar operaciones temporales de tesorería, en adelante TES de Corto Plazo, son títulos de deuda pública interna de la Nación, emitidos por el Gobierno nacional - Ministerio de Hacienda y Crédito Público de conformidad con lo establecido en la Ley 51 de 1990 y demás normas que la modifiquen adicionen o deroguen.
b) Clase y Denominación
Los TES de Corto Plazo son títulos emitidos a descuento, denominados en moneda legal colombiana.
c) Conformación de los Títulos
Los TES de Corto Plazo están conformados únicamente por el principal, que será amortizado al final del plazo.
4. Moneda de Liquidación y Pago
El valor nominal de los TES de Corto Plazo será liquidado y pagado en moneda legal colombiana.
5. Plazos de Emisión
Los TES de Corto Plazo son emitidos con plazo igual o inferior a un (1) año y no menor a treinta (30) días.
6. Ley de Circulación
Son títulos “a la orden”, libremente negociables en el mercado secundario. La transferencia de los valores que se encuentren en un depósito centralizado de valores se realizará a través de la correspondiente anotación en cuenta.
7. Inscripción
Están inscritos en la Bolsa de Valores de Colombia.
8. Homogeneidad
Las colocaciones sucesivas de los TES de Corto Plazo, de un determinado plazo de emisión tendrán iguales características de emisión y de amortización del principal y se considerarán como parte de la misma emisión.
9. Precio
El precio de los TES de Corto Plazo es el valor presente de un título compuesto únicamente por el principal, equivalente a cien (100) unidades de valor nominal, descontado a la tasa de rendimiento aprobada en la subasta el día de cumplimiento de la respectiva oferta.
El precio se expresará con tres (3) decimales y será el resultado de la siguiente expresión matemática:

Dónde:
Precio: Es el valor presente de un título con valor nominal de 100 unidades descontado a una tasa de interés ie.
ie: Será la tasa de rendimiento efectiva anual resultante de la subasta (tasa de corte) con la cual se descuenta el valor del principal de los TES de Corto Plazo, expresada como porcentaje, con tres (3) decimales.
n: Será el número de días que transcurran entre la fecha de cumplimiento de la subasta y la de vencimiento del título.
10. Valor de Expedición
Los TES de Corto Plazo se expedirán en múltiplos de cien mil pesos ($100.000) y el valor mínimo de expedición del principal será de quinientos mil pesos ($500.000) moneda legal colombiana.
11. Valor de Liquidación
Los TES de Corto Plazo se liquidarán y pagarán en moneda legal colombiana y su valor será el resultado de multiplicar el valor nominal de los títulos por su precio, dividiendo este último en cien (100). La Nación no reconocerá intereses sobre los días no hábiles bancarios que transcurran entre el vencimiento de los títulos y su fecha de pago efectivo cuando el vencimiento ocurra en días no hábiles bancarios.
12. Expedición y Administración.
Los TES de Corto Plazo serán expedidos y administrados exclusivamente a través del Depósito Central de Valores (DCV) del Banco de la República y por tanto les serán aplicables las disposiciones pertinentes del mismo.
El Banco de la República actúa únicamente en calidad de administrador de los títulos y en ningún caso como garante de los mismos.
Los costos que se causen por el uso del Depósito Central de Valores (DCV) serán pagados por la Nación - Ministerio de Hacienda y Crédito Público.
13. Prescripción de Derechos.
La prescripción de los derechos incorporados en los TES de Corto Plazo y la caducidad de las acciones judiciales para exigir tales derechos se regirán por las normas legales vigentes y especialmente por lo establecido en el artículo 17 de la Ley 185 de 1995.
14. Tratamiento Tributario del Descuento.
Sobre el descuento que generen los títulos, el Depósito Central de Valores (DCV) del Banco de la República realizará la respectiva retención en la fuente de acuerdo con las normas legales vigentes.
ARTÍCULO 3o. FORMAS DE COLOCACIÓN EN EL MERCADO PRIMARIO DE LOS “TÍTULOS DE TESORERÍA TES - CLASE B”, DESTINADOS A FINANCIAR OPERACIONES TEMPORALES DE TESORERÍA. <Resolución derogada por el artículo 18 de la Resolución 1357 de 2022>
1. Formas de Colocación
Los TES de Corto Plazo serán colocados exclusivamente mediante mecanismos de Subasta, en la cual, el Ministerio de Hacienda y Crédito Público - Dirección General de Crédito Público y Tesoro Nacional convocará a los agentes colocadores autorizados del mercado público de valores para presentar ofertas en términos de tasa de rendimiento y monto para cada uno de los TES de Corto Plazo a colocar. Una vez establecidas las condiciones de tasa de rendimiento y precio de los títulos, de acuerdo con la modalidad de la subasta, se adjudicarán las ofertas hasta satisfacer el cupo de colocación anunciado previamente.
2. Recompra Anticipada
Los TES de Corto Plazo no se podrán colocar con derecho de recompra anticipada.
<Resolución derogada por el artículo 18 de la Resolución 1357 de 2022>
1. Agentes Colocadores
Los Agentes Colocadores de los TES de Corto Plazo por el mecanismo de subasta son los agentes autorizados para la realización de Operaciones de Mercado Abierto (OMA) con el Banco de la República.
2. Tipo de Subasta
Las subastas serán de tipo “holandés” en las cuales el Ministerio de Hacienda y Crédito Público - Dirección General de Crédito Público y Tesoro Nacional establecerá las reglas para definir la tasa de corte y, dependiendo del cupo de colocación anunciado, se adjudicarán las ofertas cuya tasa sea menor o igual a esta.
3. Características de las Emisiones a Subastar
El Ministerio de Hacienda y Crédito Público - Dirección General de Crédito Público y Tesoro Nacional definirá, con anterioridad al día de convocatoria de la subasta, la fecha de emisión de los títulos a subastar. Así mismo, determinará el monto y el período de duración de cada emisión. Una vez agotado el monto de una emisión, el Ministerio de Hacienda y Crédito Público - Dirección General de Crédito Público y Tesoro Nacional anunciará la apertura de una nueva emisión o la ampliación del monto inicial.
4. Convocatoria de la Subasta
El Ministerio de Hacienda y Crédito Público - Dirección General de Crédito Público y Tesoro Nacional definirá para cada semana monetaria la fecha, los plazos y los montos en términos de valor nominal a subastar. El Banco de la República anunciará oportunamente las condiciones de monto y período de los TES de Corto Plazo a subastar, de acuerdo con las instrucciones impartidas por el Ministerio de Hacienda y Crédito Público - Dirección General de Crédito Público y Tesoro Nacional. La información anterior se anunciará vía SEBRA o, en caso de fallas en la comunicación de este sistema, se recurrirá a medios alternos de publicación que determine el Banco de la República o la Dirección General de Crédito Público y Tesoro Nacional del Ministerio de Hacienda y Crédito Público.
5. Cronograma de las Subastas
Las subastas de TES de Corto Plazo se realizarán preferiblemente los martes de cada semana monetaria. En caso que el día de la subasta corresponda a un día no hábil bancario, la subasta se realizaría al siguiente día hábil.
Se entiende por día no hábil bancario aquel en el cual el Banco de la República o el Ministerio de Hacienda y Crédito Público no presten sus servicios.
6. Reglas para la Presentación de Ofertas
Las ofertas presentadas por los Agentes Colocadores serán consideradas en firme y su presentación se deberá hacer con el lleno de los requisitos que a continuación se determinan:
6.1. Contenido de las Ofertas
Cada oferta deberá contener la siguiente información:
a) El valor nominal de los títulos que se desean suscribir, teniendo en cuenta el valor mínimo de expedición;
b) La tasa de interés efectiva anual a la cual se desea suscribir los títulos;
c) La ciudad en la cual se dará cumplimiento a la operación.
Cada Agente Colocador podrá presentar varias ofertas. No obstante, ninguna entidad podrá presentar una o más ofertas cuyo valor de liquidación total supere la cuantía del cupo anunciado previamente por el Banco de la República. En el caso de que ello suceda, la(s) última(s) oferta(s) presentada(s) que exceda(n) dicho cupo será(n) anulada(s).
De igual forma, ninguna entidad podrá presentar ofertas cuyo diferencial entre la tasa mínima y máxima de sus ofertas supere el diferencial máximo de tasas que previamente haya determinado la Dirección General de Crédito Público y Tesoro Nacional del Ministerio de Hacienda y Crédito Público. Se anularán las ofertas que excedan dicho diferencial de tasas.
Adicionalmente, si las ofertas se realizan a través del mecanismo alterno se podrán presentar hasta tres (3) ofertas por título a subastar.
6.2. Cuantía de las Ofertas
La cuantía mínima de cada oferta por agente colocador será de quinientos millones de pesos ($500.000.000) moneda legal colombiana.
En todo caso, el monto máximo de cada oferta estará limitado al valor amparado por la Póliza Global Bancaria del Banco de la República.
6.3. Horario de Presentación
El horario para la presentación de las ofertas será de 9:30 a. m., a 10:00 a. m. del día en el cual se realice la subasta.
La Dirección General de Crédito Público y Tesoro Nacional podrá modificar estos horarios, siempre y cuando no se haya iniciado la presentación de las ofertas, y previo anuncio a los participantes en el Programa de Creadores de Mercado para Títulos de Deuda Pública.
6.4. Forma de Presentación
El Banco de la República recibirá vía SEBRA, por el aplicativo de subastas, las ofertas de los agentes autorizados en los horarios indicados anteriormente, las cuales no podrán ser modificadas ni revocadas.
Cuando un agente autorizado no pueda presentar sus ofertas vía SEBRA por el aplicativo de subastas, podrá hacerlo mediante uno de los mecanismos de contingencia. Para esto, antes del cierre del horario establecido para la operación, deberá reportar la situación excepcional al Centro de Soporte Informático del Banco de la República en el teléfono 3431000 y solicitar el número de la orden de servicio. Este número, así como el “login” de usuario de contingencia y el “token” de contingencia serán indispensables para poder utilizar los medios alternos (teléfono y fax). A través de los medios alternos solo se podrán presentar hasta tres ofertas por cada referencia de TES y no podrán ser modificadas ni revocadas.
Estos son los mecanismos que podrán ser utilizados, en su respectivo orden:
a) Teléfono, utilizando el procedimiento establecido para transmisión segura de datos y claves suministradas por el “token” de contingencia, para lo cual la entidad se identificará con el respectivo “login” de usuario de contingencia, la clave del “token” de contingencia y el número que genera el “token” de contingencia;
b) Fax, enviando el “Formato para Presentación de Ofertas” suministrado por el Banco de la República, relacionado en el artículo 12 de la presente Resolución debidamente diligenciado y previa autorización del jefe de la Mesa de Dinero del Departamento de Operaciones y Desarrollo de Mercados. Para la recepción de las ofertas será indispensable el diligenciamiento de los campos “login” de usuario de contingencia y serial del “token” de contingencia. El fax debe ser enviado a uno de los siguientes números en Bogotá:
2840228 o 3431171
7. Adjudicación en la Subasta <Numeral modificado por el artículo 1 de la Resolución 239 de 2021. El nuevo texto es el siguiente:>
Las ofertas cuya tasa se encuentre dentro del rango inferior o igual a la tasa de corte, previamente definida por el Ministerio de Hacienda y Crédito Público - Dirección General de Crédito Público y Tesoro Nacional serán adjudicadas a la tasa de corte. Los participantes cuya oferta haya sido aprobada pagarán el mismo precio y obtendrán el rendimiento correspondiente a la tasa de corte.
Las ofertas se aprobarán hasta por el monto fijado por el Ministerio de Hacienda y Crédito Público - Dirección General de Crédito Público y Tesoro Nacional. Si el monto adjudicado es inferior al valor acumulado de las ofertas presentadas a la tasa de corte, se tendrán en cuenta los siguientes criterios:
a. Las ofertas presentadas a una tasa inferior a la tasa de corte, serán aprobadas en su totalidad.
b. La diferencia frente al monto aprobado se prorrateará entre las ofertas presentadas a la misma tasa de corte, con base en el valor nominal de estas.
El Ministerio de Hacienda y Crédito Público - Dirección General de Crédito Público y Tesoro Nacional, podrá realizar una adjudicación adicional en la subasta hasta por el 30% del monto convocado inicialmente, siempre y cuando el indicador de relación del monto ofertado frente al monto convocado inicialmente sea igual o superior a 2. Así mismo, el Ministerio de Hacienda y Crédito Público - Dirección General de Crédito Público y Tesoro Nacional, podrá realizar una adjudicación adicional en la subasta hasta por el 50% del monto convocado inicialmente, siempre y cuando el indicador de relación del monto ofertado frente al monto convocado inicialmente sea igual o superior a 2,5.
8. Resultado de la Subasta
Los resultados de la subasta serán comunicados a los Agentes Colocadores el mismo día hábil bancario al de recepción de las ofertas, una vez se cierre la respectiva subasta. Los resultados serán comunicados por el sistema SEBRA, SEN o vía telefónica.
Los resultados se podrán consultar telefónicamente en el Banco de la República, Subgerencia Monetaria y de Inversiones Internacionales en el teléfono 3430359 o en el Ministerio de Hacienda y Crédito Público - Dirección General de Crédito Público y Tesoro Nacional - Subdirección de Financiamiento Interno de la Nación en el teléfono 3812179.
En la comunicación de los resultados se indicará:
a) La tasa de corte de la subasta;
b) El valor nominal demandado;
c) El valor nominal aprobado.
9. Cumplimiento
Las ofertas que resulten aprobadas en la subasta deberán ser cumplidas irrevocablemente el mismo día de su realización. En todo caso, el cumplimiento se debe realizar necesariamente a través del sistema del Depósito Central de Valores del Banco de la República, conforme el procedimiento y dentro del horario establecido por la reglamentación aplicable a este depósito.
Para todos los efectos se considera que el título fue colocado cuando el Banco de la República reciba los recursos correspondientes y el agente haya recibido los títulos en su cuenta. En todo caso, las operaciones de cumplimiento se rigen por el procedimiento establecido por el Departamento de Fiduciaria y Valores del Banco de la República.
La entrega de los respectivos certificados en los cuales consten los derechos de los títulos, se realizará en las oficinas del Banco de la República a través de las cuales las soliciten, previa solicitud del depositante directo.
CAPÍTULO II
“Títulos de Tesorería TES - Clase B” que se coloquen en el mercado primario, destinados a financiar apropiaciones del Presupuesto General de la Nación
ARTÍCULO 5o. CARACTERÍSTICAS GENERALES Y ESPECIALES. <Resolución derogada por el artículo 18 de la Resolución 1357 de 2022>
1. Origen
Los “Títulos de Tesorería TES - Clase B” con plazo mayor a un (1) año, en adelante TES de Largo Plazo, son títulos de deuda pública interna de la Nación emitidos por el Gobierno Nacional - Ministerio de Hacienda y Crédito Público destinados a financiar apropiaciones del Presupuesto General de la Nación de conformidad con lo establecido en los artículos 4o y 5o de la Ley 51 de 1990 y demás normas concordantes y pertinentes.
2. Clase y Denominación
Los TES de Largo Plazo son emitidos a tasa fija o variable y denominados en moneda legal colombiana, en dólares de los Estados Unidos de América (USO) o en Unidades de Valor Real (UVR).
3. Conformación de los Títulos
Cada TES de Largo Plazo está conformado por el principal, que será amortizado al final del plazo, y por varios cupones de intereses anuales, según corresponda, Vg. dos (2) cupones para los de dos años, tres (3) cupones para los de tres años, etc.
4. Moneda de Liquidación y Pago
El principal y los intereses de los TES de Largo Plazo serán pagados en moneda legal colombiana.
5. Plazos de Emisión
Los TES de Largo Plazo son emitidos con plazo mayor a un (1) año calendario. En todo caso, el pago del principal se deberá efectuar con cargo a recursos presupuestales de vigencias fiscales posteriores a aquellas en las cuales se emitan los títulos.
6. Ley de Circulación
Son títulos “a la orden”, libremente negociables en el mercado secundario y cuando corresponda, los cupones de intereses también son libremente negociables. La transferencia de los valores que se encuentren en un depósito centralizado de valores se realizará a través de la correspondiente anotación en cuenta.
7. Inscripción
Están inscritos en la Bolsa de Valores de Colombia.
8. Homogeneidad.
Las colocaciones sucesivas de TES de Largo Plazo de un determinado plazo de emisión tendrán iguales características de cupón, pago de intereses y de amortización del principal, siempre que su conformación lo permita, y se considerarán como parte de la misma emisión.
9. Descuponamiento
A voluntad del tenedor, el principal y el(los) cupón(es) de intereses de los TES de Largo Plazo a tasa fija denominados en pesos se podrán negociar en forma separada. Para las otras denominaciones y clases de TES de Largo Plazo no se permitirá el descuponamiento.
10. Rendimientos
Devengan intereses período vencido. La Nación no reconocerá intereses sobre los días no hábiles bancarios que transcurran entre el vencimiento de los títulos y su fecha de pago efectivo, cuando el vencimiento ocurra en días no hábiles bancarios.
En cada emisión, los intereses se calcularán desde el día siguiente al inicio del respectivo período y hasta el día pactado para su pago, empleando como base de conteo 365/365, que corresponde a años de 365 días, de doce (12) meses, con el período de días calendario que corresponda a cada mes, excepto para el mes de febrero, que corresponderá a veintiocho (28) días, inclusive para años bisiestos.
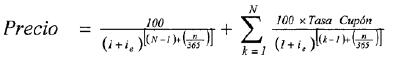
11. Precio
El precio de los TES de Largo Plazo es el valor presente de un título compuesto por el principal y el(los) cupón(es) de intereses equivalentes a cien (100) unidades de valor nominal, descontado a la tasa de rendimiento correspondiente, el día de cumplimiento de la operación respectiva.
El precio se expresará con tres (3) decimales y será el resultado de la siguiente expresión matemática:

Donde:
Precio: Es el valor presente de un título con valor nominal de 100 unidades descontado a una tasa de interés ie.
Tasa Cupón: Será el porcentaje con el cual se calculan los rendimientos periódicos de los títulos y corresponde a la tasa facial de los mismos.
ie: Será la tasa de rendimiento efectiva anual de los TES de Largo Plazo utilizada para la liquidación de la operación, expresada como porcentaje, con tres (3) decimales.
n: Será el número de días transcurridos entre la fecha de cumplimiento de la operación y el próximo pago de intereses del título.
N: Será el número de cupones de intereses del título pendientes de pago en la fecha de cumplimiento de la operación.
k: Variable que toma valores enteros entre 1 y N.
12. Rendimiento, Liquidación de Intereses y Precio de los TES de Largo Plazo a Tasa Variable
Los TES de Largo Plazo a tasa variable, cuya tasa de rendimiento está compuesta por la variación del índice de precios al consumidor más un porcentaje de rendimiento adicional o margen, serán denominados en moneda legal; su rendimiento, cupones de intereses y precio se calcularán conforme a continuación se determina:
12.1. Composición del Rendimiento.
El rendimiento de los TES de Largo Plazo a tasa variable es la tasa compuesta por:
a) El componente inflacionario que corresponde a la variación anual del Índice de Precios al Consumidor (IPC) publicado por el DANE para el mismo mes en que se realice el cumplimiento de la operación respectiva, y
b) El porcentaje de rendimiento adicional al componente inflacionario o margen. La tasa de rendimiento será el resultado de la aplicación de la siguiente fórmula:
ie = (1 + IPC)*(1+Margen) - 1
Donde:
ie: Será la tasa de rendimiento efectiva anual de los TES de Largo Plazo, expresada como porcentaje.
IPC: Será el componente inflacionario vigente el día de cumplimiento de la operación.
Margen: Será el porcentaje de rendimiento utilizado para la liquidación de la operación, el cual no incorpora el componente inflacionario.
12.2. Forma de Liquidación del Cupón de Intereses
Los intereses se liquidan anualmente por periodos vencidos con base en la tasa compuesta por la variación de doce (12) meses del IPC publicado por el DANE para el mismo mes en que se realice el pago de rendimientos más el margen aprobado en la subasta. Si a las 5:30 p. m., del día hábil anterior a la fecha de exigibilidad del pago de los rendimientos, el DANE o la entidad competente no ha publicado oficialmente la variación anual del IPC, se tomará la última variación de doce (12) meses conocida.
La tasa para el cálculo de los cupones de intereses será obtenida con la aplicación de la siguiente fórmula:
Tasa Cupón = (1 + IPC)*(1+Margen) - 1
Donde:
Tasa Cupón: Será la tasa de interés con la cual se calculan los rendimientos periódicos de los títulos.
IPC: Será la variación de doce (12) meses del Índice de Precios al Consumidor publicado por el DANE, vigente en la fecha de exigibilidad de los rendimientos periódicos de los títulos.
Margen: Será el porcentaje de rendimiento utilizado para la liquidación de la operación, sin tener en cuenta el componente inflacionario.
12.3. Precio de los TES de Largo Plazo a Tasa Variable
Para calcular el precio de los TES de Largo Plazo a tasa variable se tomará la misma expresión matemática descrita en el numeral 11 del presente artículo, donde:
Precio: Es el valor presente de un título con valor nominal de 100 unidades descontado a una tasa de interés ie.
Tasa Cupón: Para efectos del cálculo del precio, el valor tanto del primero como de los siguientes cupones será calculado con base en la tasa compuesta por la variación del IPC de doce (12) meses publicado por el DANE vigente en la fecha de cumplimiento de la operación, más el margen de rendimiento adicional aprobado en la misma.
ie: Será la tasa de rendimiento efectiva anual de los TES de Largo Plazo, expresada como porcentaje, como se encuentra definida en el numeral 12.1 del presente artículo.
n: Será el número de días transcurridos entre la fecha de cumplimiento de la operación y el próximo pago de intereses del título.
N: Será el número de cupones de intereses del título pendientes de pago en la fecha de cumplimiento de la operación.
k: Variable que toma valores enteros entre 1 y N.
13. Valor de Expedición
El valor de expedición de los TES de Largo Plazo dependerá de la clase de título a colocar, como se señala a continuación:
13.1. Valor de Expedición de los TES de Largo Plazo a Tasa Fija y Variable Denominados en Pesos
Los TES de Largo Plazo denominados en moneda legal colombiana se expedirán en múltiplos de cien mil pesos ($100.000) y el valor mínimo del título principal será de quinientos mil pesos ($500.000) moneda legal colombiana.
13.2. Valor de Expedición de TES de Largo Plazo a Tasa Fija Denominados en Dólares
Los TES de Largo Plazo denominados en dólares de los Estados Unidos de América se expedirán en múltiplos de cien dólares de los Estados Unidos de América (US$100) y el valor mínimo del título principal será de mil dólares de los Estados Unidos de América (US$1.000).
13.3. Valor de Expedición de TES de Largo Plazo a Tasa Fija Denominados en UVR
Los TES de Largo Plazo denominados en Unidades de Valor Real (UVR) se expedirán en múltiplos de mil (1.000) UVR y el valor mínimo del título principal será de diez mil (10.000) UVR.
14. Valor de Liquidación
Los TES de Largo Plazo se liquidarán y pagarán en moneda legal colombiana de acuerdo a la clase y denominación del título. La Nación no reconocerá intereses sobre los días no hábiles bancarios que transcurran entre el vencimiento de los títulos y su fecha de pago efectivo cuando el vencimiento ocurra en días no hábiles bancarios.
El valor de liquidación de los TES de Largo Plazo se obtendrá conforme se señala a continuación:
14.1. Valor de Liquidación de TES de Largo Plazo a Tasa Fija y Variable Denominados en Pesos
El valor de liquidación en moneda legal colombiana de los TES de Largo Plazo a tasa fija y variable denominados en pesos será el resultado de multiplicar el valor nominal de los títulos por su precio, dividiendo este último en cien (100).
14.2. Valor de Liquidación de TES de Largo Plazo a Tasa Fija Denominados en Dólares
El valor de liquidación en moneda legal colombiana de los TES de Largo Plazo a tasa fija denominados en dólares será el resultado de multiplicar el valor nominal de los títulos por su precio, dividiendo este último en cien (100) y, por la Tasa Representativa del Mercado (TRM) vigente el día de cumplimiento de las ofertas.
14.3. Valor de Liquidación de TES de Largo Plazo a Tasa Fija Denominados en UVR
El valor de liquidación en moneda legal colombiana de los TES de Largo Plazo a tasa fija denominados en UVR será el resultado de multiplicar el valor nominal de los títulos por su precio, dividiendo este último en cien (100), y por la UVR vigente el día de cumplimiento de las ofertas.
15. Expedición y Administración
Los TES de Largo Plazo, tanto el principal como los cupones de intereses, serán expedidos y administrados exclusivamente a través del Depósito Central de Valores (DCV) del Banco de la República y por tanto les serán aplicables las disposiciones pertinentes del mismo.
El Banco de la República actúa únicamente en calidad de administrador de los títulos y en ningún caso como garante de los mismos.
Los costos que se causen por el uso del Depósito Central de Valores (DCV) serán pagados por la Nación - Ministerio de Hacienda y Crédito Público.
16. Prescripción de Derechos
La prescripción de los derechos incorporados en los TES de Largo Plazo y la caducidad de las acciones judiciales para exigir tales derechos se regirán por las normas legales vigentes y especialmente por lo establecido en el artículo 17 de la Ley 185 de 1995.
17. Tratamiento Tributario de los Rendimientos
Sobre los intereses que generen los títulos, el Depósito Central de Valores (DCV) del Banco de la República realizará la respectiva retención en la fuente de acuerdo con las normas legales vigentes. De igual forma, si se colocan primariamente con descuento, el Banco de la República efectuará la retención en la fuente a que haya lugar por concepto del descuento sobre los rendimientos financieros.
ARTÍCULO 6o. FORMAS DE COLOCACIÓN EN EL MERCADO PRIMARIO DE LOS "TÍTULOS DE TESORERÍA TES - CLASE B", DESTINADOS A FINANCIAR APROPIACIONES DEL PRESUPUESTO GENERAL DE LA NACIÓN. <Resolución derogada por el artículo 18 de la Resolución 1357 de 2022> <Artículo modificado por el artículo 1 de la Resolución 1392 de 2020. El nuevo texto es el siguiente:> 1. Formas de Colocación
Los TES podrán ser colocados en el mercado primario en las siguientes formas:
1.1. Colocación por Subasta
Mediante este mecanismo, el Ministerio de Hacienda y Crédito Público – Dirección General de Crédito Público y Tesoro Nacional convocará a los agentes colocadores autorizados del mercado público de valores para presentar ofertas en términos de tasa de rendimiento y monto para cada uno de los TES de Largo Plazo a colocar. Una vez establecidas las condiciones de tasa de rendimiento y precio de los títulos, de acuerdo con la modalidad de la subasta, se adjudicarán las ofertas hasta satisfacer el cupo de colocación anunciado previamente.
1.2. Colocación Directa
1.2.1. Colocación Directa Convenida
Se denomina Colocación Directa Convenida aquella suscripción de TES de Largo Plazo en el mercado primario realizada con recursos públicos por parte de los administradores de recursos públicos y de las entidades públicas a las cuales les han sido aceptados sus excedentes de liquidez en moneda nacional por parte de la Dirección General de Crédito Público y Tesoro Nacional del Ministerio de Hacienda y Crédito Público.
Las entidades a quienes se le podrán entregar los TES de Largo Plazo del mercado primario mediante Colocación Directa Convenida serán todas aquellas entidades públicas diferentes a las descritas en el Capítulo 2 del Título 3 Parte 3 del Libro 2 del Decreto número 1068 de 2015 y las demás normas que lo modifiquen, adicionen o deroguen. Tratándose de personas distintas a entidades públicas, podrán hacerlo las que administren recursos públicos, en los términos del primer inciso de este numeral.
También se entienden como Colocación Directa Convenida la suscripción y entrega de los TES de Largo Plazo a beneficiarios de sentencias y conciliaciones judiciales conforme a lo dispuesto en el artículo 29 de la Ley 344 de 1996 y demás normas concordantes.
Las condiciones de colocación de los TES de Largo Plazo por Colocación Directa Convenida serán las determinadas por la Dirección General de Crédito Público y Tesoro Nacional del Ministerio de Hacienda y Crédito Público, de acuerdo con las condiciones de mercado de los TES de Largo Plazo vigentes al momento de la suscripción.
1.2.2. Colocación Directa con Agentes Colocadores Autorizados del Mercado Público de Valores
Se denomina Colocación Directa con uno o varios agentes colocadores autorizados del mercado público de valores, bien sea una entidad privada o una entidad mixta, aquella suscripción de TES de Largo Plazo en el mercado primario a través de un contrato de colocación mediante el cual dichos agentes se obligan a comprar a la Nación-Ministerio de Hacienda y Crédito Público los TES de Largo Plazo de acuerdo con las condiciones pactadas en dicho contrato. Para la determinación de las condiciones financieras de estos TES de Largo Plazo se podrá hacer uso de los mecanismos típicamente usados en el mercado para tal fin, incluyendo la construcción de Libro de Ofertas.
2. Recompra Anticipada
Los TES de Largo Plazo no se podrán colocar con derecho de recompra anticipada.
1. Agentes Colocadores
Los Agentes Colocadores de los TES de Largo Plazo por el mecanismo de subasta, son los establecimientos bancarios, las corporaciones financieras y las sociedades comisionistas de bolsa participantes en el Programa de Creadores de Mercado para Títulos de Deuda Pública y que hayan sido designados como Creadores de Mercado por el Ministerio de Hacienda y Crédito Público - Dirección General de Crédito Público y Tesoro Nacional, para la respectiva vigencia.
2. Tipo de Subasta
Las subastas serán de tipo “holandés” en las cuales el Ministerio de Hacienda y Crédito Público - Dirección General de Crédito Público y Tesoro Nacional establecerá las reglas para definir la tasa de corte y, dependiendo del cupo de colocación anunciado, se adjudicarán las ofertas cuya tasa sea menor o igual a esta.
3. Características de las Emisiones a Subastar
El Ministerio de Hacienda y Crédito Público - Dirección General de Crédito Público y Tesoro Nacional definirá, con anterioridad al día de convocatoria de la subasta, la fecha de emisión de los títulos a subastar. Así mismo, determinará el monto, el cupón de intereses y el período de duración de cada emisión. El cupón de intereses no se podrá modificar hasta la fecha de cierre de la emisión. Una vez agotado el monto de una emisión, el Ministerio de Hacienda y Crédito Público - Dirección General de Crédito Público y Tesoro Nacional anunciará la apertura de una nueva emisión o la ampliación del monto inicial.
4. Convocatoria de la Subasta
El Ministerio de Hacienda y Crédito Público - Dirección General de Crédito Público y Tesoro Nacional definirá para cada semana monetaria la fecha, los plazos y los montos en términos de valor de giro a subastar. El Banco de la República anunciará oportunamente las condiciones de monto y período de los TES de Largo Plazo a subastar, de acuerdo con instrucciones impartidas por el Ministerio de Hacienda y Crédito Público - Dirección General de Crédito Público y Tesoro Nacional. La información anterior se anunciará vía SEBRA o, en caso de fallas en la comunicación de este sistema, se recurrirá a medios alternos de publicación que determine el Banco de la República o la Dirección General de Crédito Público y Tesoro Nacional del Ministerio de Hacienda y Crédito Público.
5. Cronograma de las Subastas
Las subastas de TES de Largo Plazo se realizarán preferiblemente de acuerdo con el siguiente cronograma:
a) Para TES de Largo Plazo a tasa fija denominados en pesos, las subastas se podrán realizar los miércoles de la segunda y cuarta semanas monetarias;
b) Para TES de Largo Plazo a tasa fija denominados en dólares, las subastas se podrán realizar los miércoles de la primera semana monetaria;
c) Para TES de Largo Plazo a tasa fija denominados en UVR, las subastas se podrán realizar los miércoles de la primera y tercera semana monetaria;
d) Para TES de Largo Plazo a tasa variable denominados en pesos, las subastas se podrán realizar los miércoles de la primera semana monetaria.
En caso de que el día de la subasta corresponda a un día no hábil bancario, la subasta se realizaría al siguiente día hábil.
Se entiende por día no hábil bancario aquel en el cual el Banco de la República o el Ministerio de Hacienda y Crédito Público no presten sus servicios.
6. Reglas para la Presentación de Ofertas
Las ofertas presentadas por los Creadores de Mercado serán consideradas en firme y su presentación se deberá hacer con el lleno de los requisitos que a continuación se determinan:
6.1. Contenido de las Ofertas
Cada oferta deberá contener la siguiente información:
a) El valor nominal de los títulos que se desean suscribir, teniendo en cuenta en cada caso los valores mínimos de expedición;
b) La tasa de interés efectiva anual o el margen, según el caso (para TES de Largo Plazo en pesos, dólares o UVR) a la cual se desean suscribir los títulos;
c) La ciudad en la cual se dará cumplimiento a la operación.
Cada Creador de Mercado podrá presentar varias ofertas. No obstante, ninguna entidad podrá presentar una o más ofertas cuyo valor de liquidación total supere la cuantía del cupo anunciado previamente por el Banco de la República. En el caso de que ello suceda, la(s) última(s) oferta(s) presentada(s) que exceda(n) dicho cupo será(n) anulada(s).
De igual manera, ninguna entidad podrá presentar ofertas cuyo diferencial entre la tasa mínima y máxima de sus ofertas supere el diferencial máximo de tasas que previamente haya determinado la Dirección General de Crédito Público y Tesoro Nacional del Ministerio de Hacienda y Crédito Público. Se anularán las ofertas que excedan dicho diferencial de tasas.
Adicionalmente, si las ofertas se realizan a través del mecanismo alterno se podrán presentar hasta tres (3) ofertas por título a subastar.
6.2. Cuantía de las Ofertas
La cuantía mínima de cada oferta por agente colocador según el título a subastar será:
a) Para TES de Largo Plazo a tasa fija y variable denominados en pesos, de quinientos millones de pesos ($500.000.000) moneda legal colombiana;
b) Para títulos denominados en dólares de los Estados Unidos de América, de cien mil dólares de los Estados Unidos de América (US$100.000).
c) Para títulos denominados en UVR, de un millón (1.000.000) de UVR.
En todo caso, el monto máximo de cada oferta estará limitado al valor amparado por la Póliza Global Bancaria del Banco de la República.
6.3. Horario de Presentación
El horario para la presentación de las ofertas será de 9:30 a. m., a 10:00 a. m., del día en el cual se realice la subasta.
La Dirección General de Crédito Público y Tesoro Nacional podrá modificar estos horarios, siempre y cuando no se haya iniciado la presentación de las ofertas, y previo anuncio a los participantes en el Programa de Creadores de Mercado para Títulos de Deuda Pública.
6.4. Forma de Presentación
El Banco de la República recibirá vía SEBRA, por el aplicativo de subastas, las ofertas de los Creadores de Mercado en los horarios indicados anteriormente, las cuales no podrán ser modificadas ni revocadas.
Cuando un Agente Colocador no pueda presentar sus ofertas vía SEBRA por el aplicativo de subastas, podrá hacerlo mediante uno de los mecanismos de contingencia. Para esto, antes del cierre del horario establecido para la operación, deberá reportar la situación excepcional al Centro de Soporte Informático del Banco de la República en el teléfono 3431000 y solicitar el número de la orden de servicio. Este número, así como el “login” de usuario de contingencia y el “token” de contingencia serán indispensables para poder utilizar los medios alternos (teléfono y fax). A través de los medios alternos solo se podrán presentar hasta tres (3) ofertas por cada referencia de TES y no podrán ser modificadas ni revocadas.
Estos son los mecanismos que podrán ser utilizados, en su respectivo orden:
a) Teléfono, utilizando el procedimiento establecido para transmisión segura de datos y claves suministradas por el “token” de contingencia, para lo cual la entidad se identificará con el respectivo “login” de usuario de contingencia, la clave del “token” de contingencia, y el número que genera el “token” de contingencia;
b) Fax, enviando el “Formato para Presentación de Ofertas” suministrado por el Banco de la República, relacionado en el artículo 12 de la presente Resolución, debidamente diligenciado y previa autorización del jefe de la Mesa de Dinero del Departamento de Operaciones y Desarrollo de Mercados. Para la recepción de las ofertas será indispensable el diligenciamiento de los campos “login” de usuario de contingencia y serial del “token” de contingencia. El fax debe ser enviado a uno de los siguientes números en Bogotá:
2840228 o 3431171
7. Adjudicación en la Subasta. <Numeral modificado por el artículo 1 de la Resolución 951 de 2020. El nuevo texto es el siguiente:>
Las ofertas cuya tasa se encuentre dentro del rango inferior o igual a la tasa de corte, previamente definida por el Ministerio de Hacienda y Crédito Público - Dirección General de Crédito Público y Tesoro Nacional serán adjudicadas a la tasa de corte. Los participantes cuya oferta haya sido aprobada pagarán el mismo precio y obtendrán el rendimiento correspondiente a la tasa de corte.
Las ofertas se aprobarán hasta por el monto fijado por el Ministerio de Hacienda y Crédito Público -Dirección General de Crédito Público y Tesoro Nacional. Si el monto adjudicado es inferior al valor acumulado de las ofertas presentadas a la tasa de corte, se tendrán en cuenta los siguientes criterios:
a. Las ofertas presentadas a una tasa inferior a la tasa de corte serán aprobadas en su totalidad.
b. La diferencia frente al monto aprobado se prorrateará entre las ofertas presentadas a la misma tasa de corte, con base en el valor de liquidación de éstas.
El Ministerio de Hacienda y Crédito Público - Dirección General de Crédito Público y Tesoro Nacional, podrá realizar una adjudicación adicional en la subasta hasta por el 30% del monto convocado inicialmente en primera vuelta, siempre y cuando el indicador de relación del monto ofertado frente al monto convocado inicialmente sea igual o superior a 2 independientemente de su denominación. Así mismo el Ministerio de Hacienda y crédito público-Dirección General de Crédito Público y Tesoro Nacional, podrá realizar una adjudicación adicional en la subasta hasta por el 50% del monto convocado inicialmente en primera vuelta, siempre y cuando el indicador de relación del monto ofertado frente al monto convocado inicialmente sea igual o superior a 2,5 independientemente de su denominación.
8. Resultado de la Subasta
Los resultados de la subasta serán comunicados a los Creadores de Mercado el mismo día hábil bancario al de recepción de las ofertas, una vez se cierre la respectiva subasta. Los resultados serán comunicados por el sistema SEBRA, SEN o vía telefónica.
Los resultados se podrán consultar telefónicamente en el Banco de la República, Subgerencia Monetaria y de Inversiones Internacionales en el teléfono 3430359 o en el Ministerio de Hacienda y Crédito Público - Dirección General de Crédito Público y Tesoro Nacional - Subdirección de Financiamiento Interno de la Nación en el teléfono 3812179.
En la comunicación de los resultados se indicará:
a) La tasa de corte de la subasta;
b) El valor costo demandado;
c) El valor costo aprobado.
9. Cumplimiento
Las ofertas que resulten aprobadas en la subasta deberán ser cumplidas irrevocablemente el mismo día de su realización. En todo caso, el cumplimiento se debe realizar necesariamente a través del sistema del Depósito Central de Valores del Banco de la República, conforme al procedimiento y dentro del horario establecido por la reglamentación aplicable a este depósito.
Para todos los efectos se considera que el título fue colocado cuando el Banco de la República reciba los recursos correspondientes y el agente haya recibido los títulos en su cuenta. En todo caso, las operaciones de cumplimiento se rigen por el procedimiento establecido por el Departamento de Fiduciaria y Valores del Banco de la República.
La entrega de los respectivos certificados en los cuales consten los derechos de los títulos, se realizará en las oficinas del Banco de la República a través de las cuales las soliciten, previa solicitud del depositante directo.
ARTÍCULO 8o. PROCEDIMIENTO DE COLOCACIÓN POR SUBASTA NO COMPETITIVA EN EL MERCADO PRIMARIO DE LOS “TÍTULOS DE TESORERÍA TES - CLASE B” DESTINADOS A FINANCIAR APROPIACIONES DEL PRESUPUESTO GENERAL DE LA NACIÓN. <Resolución derogada por el artículo 18 de la Resolución 1357 de 2022>
1. Definición
La Subasta No Competitiva es una colocación de títulos en un monto adicional a una subasta, en la cual los Creadores de Mercado designados según las disposiciones del Ministerio de Hacienda y Crédito Público - Dirección General de Crédito Público y Tesoro Nacional, pueden adquirir un valor adicional de los TES de la misma clase de los adjudicados, conforme la distribución que se establece en la presente Resolución.
2. Convocatoria de una Subasta No Competitiva
Se procederá a convocar una Subasta No Competitiva por el ochenta por ciento (80%) del cupo aprobado en la subasta, siempre y cuando el monto ofertado haya sido de por lo menos el cien por ciento (100%) del cupo convocado en primera vuelta.
Si el porcentaje de ofertas es inferior al señalado anteriormente, no procederá la convocatoria de la Subasta No Competitiva.
Se procederá a convocar una Subasta No Competitiva, siempre y cuando la subasta que la origina sea puntuable en el Programa de Creadores de Mercado para Títulos de Deuda Pública de acuerdo a lo que determine la Dirección General de Crédito Público y Tesoro Nacional.
3. Distribución del Cupo de la Subasta No Competitiva
La Colocación No Competitiva se distribuirá entre Creadores de Mercado que hayan sido adjudicados en la subasta, el cual quedará así:
3.1. Primer Cupo No Competitivo
Será hasta por el equivalente al cuarenta por ciento (40%) del monto aprobado en la subasta para cada título y se distribuirá entre los Creadores de Mercado en proporción al monto adjudicado en la misma.
3.2. Segundo Cupo No Competitivo
Será hasta por el equivalente al cuarenta por ciento (40%) del monto aprobado en la subasta para cada título, distribuido entre los Creadores de Mercado adjudicados en la misma y que se encuentren dentro de los diez (10) primeros lugares del puntaje obtenido en la medición de la labor y desempeño de los componentes del Primer Escalón del Mercado Secundario por Presencia en Pantalla y por Operaciones de Liquidez, en adelante Ranking Secundario o RS, acumulado desde el inicio de cada período de calificación y hasta el mes anterior a la convocatoria de la subasta.
La medición de la labor y desempeño de los componentes del Primer Escalón de Mercado Secundario, de Presencia en Pantalla y de Operaciones de Liquidez se efectuará conforme lo establecido en la Resolución 5112 de 2018 de la Dirección General de Crédito Público y Tesoro Nacional del Ministerio de Hacienda y Crédito Público o las demás normas que la modifiquen, adicionen o deroguen.
Para realizar el cálculo del Ranking Secundario del mes de enero de cada período de calificación, se tomarán los valores acumulados de Mercado Secundario, de Presencia en Pantalla, y de Operaciones de Liquidez obtenidos al cierre del período de calificación anterior.
Una vez establecido el Ranking Secundario y después de adjudicada la subasta, se procederá a determinar los Creadores de Mercado adjudicatarios en la misma que se encuentren dentro de los diez (10) primeros lugares del mencionado ranking, en adelante Entidades Adjudicatarias en la Subasta o EAS.
Con base en el puntaje obtenido por las Entidades Adjudicatarias en la Subasta, el Segundo Cupo de la Subasta No Competitiva para cada EAS será el resultado de multiplicar el valor total del segundo cupo no competitivo por el puntaje obtenido de esa entidad, dividido entre la suma de los puntajes obtenidos por todas las EAS, así:

Donde:
Cupo EAS: Corresponderá al monto que cada Entidad Adjudicataria en la Subasta podrá ofertar como segundo cupo no competitivo.
Total Segundo Cupo: Corresponderá al valor total del segundo cupo no competitivo.
Puntaje RS: Corresponderá al puntaje de Ranking Secundario de la respectiva Entidad Adjudicataria en la Subasta.
Puntajes RS: Corresponderá a los puntajes de Ranking Secundario de todas las Entidades Adjudicatarias en la Subasta.
4. Presentación de Ofertas
Cada entidad habilitada para participar en la Subasta No Competitiva podrá enviar una única oferta por cada clase de título a adjudicar.
La presentación de ofertas en la Subasta No Competitiva se efectuará a los nueve (9) días calendario siguientes a la realización de la respectiva subasta, en el horario de 12:30 m. a 1:00 p. m. En caso de que ese día sea no hábil bancario, la presentación de ofertas se efectuará al día hábil bancario siguiente.
Las ofertas se presentarán siguiendo el mismo procedimiento utilizado para las subastas y descrito en el numeral 6.4 del artículo 7o de la presente Resolución.
5. Tasa de Rendimiento
La tasa de rendimiento para la Subasta No Competitiva será la tasa calculada por el sistema proveedor de información para valoración de inversiones PRECIA con base en las operaciones realizadas el día de la subasta competitiva.
6. Adjudicación
La adjudicación de la Subasta No Competitiva se hará por el valor ofertado en la misma. No obstante lo anterior, en el evento en el cual el valor nominal de una oferta sea inferior al valor mínimo de expedición del título según su respectiva clase y denominación, no habrá lugar a la adjudicación de la respectiva Subasta No Competitiva y por ende no habrá lugar a la expedición de los correspondientes títulos.
7. Resultado
El resultado de la Subasta No Competitiva será comunicado a los Creadores de Mercado una vez cerrada la respectiva colocación el mismo día hábil bancario de recepción de ofertas, ya sea por SEBRA, SEN o vía telefónica. Los resultados podrán ser consultados en el Banco de la República, Subgerencia Monetaria y de Reservas o en el Ministerio de Hacienda y Crédito Público - Dirección General de Crédito Público y Tesoro Nacional - Subdirección de Financiamiento Interno de la Nación.
8. Cumplimiento
La fecha de cumplimiento de la Subasta No Competitiva será el mismo día hábil bancario de presentación de las respectivas ofertas. En todo caso, el cumplimiento se debe realizar necesariamente a través del sistema del Depósito Central de Valores (DCV) del Banco de la República, conforme el procedimiento y dentro del horario establecido por la reglamentación aplicable a este depósito.
CAPÍTULO III
“Títulos de Tesorería TES - Clase B” que se coloquen en el mercado primario, para regular la liquidez de la economía
ARTÍCULO 9o. CARACTERÍSTICAS GENERALES Y ESPECIALES. <Resolución derogada por el artículo 18 de la Resolución 1357 de 2022>
1. Origen
Los “Títulos de Tesorería TES - Clase B” que se coloquen en el mercado primario para regular la liquidez de la economía, son títulos de deuda pública interna de la Nación, emitidos por el Gobierno nacional - Ministerio de Hacienda y Crédito Público de conformidad con lo establecido en la Ley 51 de 1990 y demás normas que la modifiquen, adicionen o deroguen.
2. Clase y Denominación
Los “Títulos de Tesorería TES - Clase B para regular la liquidez de la economía” son títulos que podrán ser emitidos a descuento, o emitidos a tasa fija y denominados en moneda legal colombiana.
3. Conformación de los Títulos
Cuando sean emitidos a descuento, los “Títulos de Tesorería TES - Clase B para regular la liquidez de la economía” estarán conformados únicamente por el principal, que será amortizado al final del plazo, cuando sean emitidos a tasa fija, estarán conformados por el principal, que será amortizado al final del plazo, y por uno o varios cupones de intereses anuales, según corresponda, Vg. un (1) cupón para los títulos de un año, dos (2) cupones para los de dos años, tres (3) cupones para los de tres años, etc.
4. Moneda de Liquidación y Pago
El valor nominal de los “Títulos de Tesorería TES - Clase B para regular la liquidez de la economía” será liquidado y pagado en moneda legal colombiana.
5. Plazos de Emisión
Cuando sean emitidos a descuento, los “Títulos de Tesorería TES - Clase B para regular la liquidez de la economía” tendrán un plazo igual o inferior a un (1) año y no menor a treinta (30) días, cuando sean emitidos a tasa fija tendrán plazos de uno (1) o más años calendario.
6. Ley de Circulación
Son títulos “a la orden”, libremente negociables en el mercado secundario. La transferencia de los valores que se encuentren en un depósito centralizado de valores se realizará a través de la correspondiente anotación en cuenta.
7. Inscripción
Están inscritos en la Bolsa de Valores de Colombia.
8. Homogeneidad
Las colocaciones sucesivas de los 'Títulos de Tesorería TES - Clase B para regular la liquidez de la economía”, de un determinado plazo de emisión tendrán iguales características de emisión y de amortización del principal y se considerarán como parte de la misma emisión.
9. Descuponamiento
Cuando sean emitidos a tasa fija, y a voluntad del tenedor, el principal y el(los) cupón(es) de intereses de los “Títulos de Tesorería TES - Clase B para regular la liquidez de la economía”, se podrán negociar en forma separada.
10. Rendimientos
Cuando sean emitidos a tasa fija, los “Títulos de Tesorería TES - Clase B para regular la liquidez de la economía”, devengarán intereses período vencido. La Nación no reconocerá intereses sobre los días no hábiles bancarios que transcurran entre el vencimiento de los títulos y su fecha de pago efectivo, cuando el vencimiento ocurra en días no hábiles bancarios.
En cada emisión, los intereses se calcularán desde el día siguiente al inicio del respectivo período y hasta el día pactado para su pago, empleando como base de conteo 365/365, que corresponde a años de 365 días, de doce (12) meses, con el período de días calendario que corresponda a cada mes, excepto para el mes de febrero, que corresponderá a veintiocho (28) días, inclusive para años bisiestos.
11. Precio
Cuando sean emitidos a descuento, el precio de los “Títulos de Tesorería TES - Clase B para regular la liquidez de la economía” será el valor presente de un título compuesto únicamente por el principal, equivalente a cien (100) unidades de valor nominal, descontado a la tasa de rendimiento aprobada en la subasta el día de cumplimiento de la respectiva oferta.
El precio se expresará con tres (3) decimales y será el resultado de la siguiente expresión matemática:

Donde:
Precio: Es el valor presente de un título con valor nominal de 100 unidades descontado a una tasa de interés ie.
ie Será la tasa de rendimiento efectiva anual con la cual se descuenta el valor del principal de los “Títulos de Tesorería TES - Clase B para regular la liquidez de la economía”, expresada como porcentaje, con tres (3) decimales.
n: Será el número de días que transcurran entre la fecha de cumplimiento de la operación y la de vencimiento del título.
Cuando sean emitidos a tasa fija, el precio de los “Títulos de Tesorería TES - Clase B para regular la liquidez de la economía” será el valor presente de un título compuesto por el principal y el(los) cupón(es) de intereses equivalentes a cien (100) unidades de valor nominal, descontado a la tasa de rendimiento aprobada en la operación el día de cumplimiento de la respectiva oferta.
El precio se expresará con tres (3) decimales y será el resultado de la siguiente expresión matemática:

Donde:
Precio: Es el valor presente de un título con valor nominal de 100 unidades descontado a una tasa de interés ie.
Tasa Cupón: Será el porcentaje con el cual se calculan los rendimientos periódicos de los títulos y corresponde a la tasa facial de los mismos.
ie: Será la tasa de rendimiento efectiva anual de los “Títulos de Tesorería TES - Clase B para regular la liquidez de la economía” utilizada para la liquidación de la operación, expresada como porcentaje, con tres (3) decimales.
n: Será el número de días transcurridos entre la fecha de cumplimiento de la operación y el próximo pago de intereses del título.
N: Será el número de cupones de intereses del título pendientes de pago en la fecha de cumplimiento de la operación.
k: Variable que toma valores enteros entre 1 y N.
12. Valor de Expedición
Los “Títulos de Tesorería TES - Clase B para regular la liquidez de la economía” se expedirán en múltiplos de cien mil pesos ($100.000) y el valor mínimo de expedición del principal será de quinientos mil pesos ($500.000) moneda legal colombiana.
13. Valor de Liquidación
Los “Títulos de Tesorería TES - Clase B para regular la liquidez de la economía” se liquidarán y pagarán en moneda legal colombiana y su valor será el resultado de multiplicar el valor nominal de los títulos por su precio, dividiendo este último en cien (100). La Nación no reconocerá intereses sobre los días no hábiles bancarios que transcurran entre el vencimiento de los títulos y su fecha de pago efectivo cuando el vencimiento ocurra en días no hábiles bancarios.
14. Expedición y Administración
Los “Títulos de Tesorería TES - Clase B para regular la liquidez de la economía”, tanto el principal como los cupones de intereses, serán expedidos y administrados exclusivamente a través del Depósito Central de Valores (DCV) del Banco de la República y por tanto les serán aplicables las disposiciones pertinentes del mismo.
El Banco de la República actúa únicamente en calidad de administrador de los títulos y en ningún caso como garante de los mismos.
Los costos que se causen por el uso del Depósito Central de Valores (DCV) serán pagados por la Nación - Ministerio de Hacienda y Crédito Público.
15. Prescripción de Derechos
La prescripción de los derechos incorporados en los “Títulos de Tesorería TES - Clase B para regular la liquidez de la economía” y la caducidad de las acciones judiciales para exigir tales derechos se regirán por las normas legales vigentes y especialmente por lo establecido en el artículo 17 de la Ley 185 de 1995.
16. Tratamiento Tributario del Descuento y de los Rendimientos
Cuando sean emitidos a descuento, el Depósito Central de Valores (DCV) del Banco de la República realizará la retención en la fuente de acuerdo con las normas legales vigentes sobre el descuento que generen los títulos.
Cuando sean emitidos a tasa fija, el Depósito Central de Valores (DCV) del Banco de la República, realizará la retención en la fuente de acuerdo con las normas legales vigentes sobre los intereses que generen los títulos. De igual forma, si se colocan primariamente con descuento, el Banco de la República efectuará la retención en la fuente a que haya lugar por concepto del descuento sobre los rendimientos financieros.
ARTÍCULO 10. FORMAS DE COLOCACIÓN EN EL MERCADO PRIMARIO DE LOS “TÍTULOS DE TESORERÍA TES - CLASE B” QUE SE COLOQUEN EN EL MERCADO PRIMARIO, PARA REGULAR LA LIQUIDEZ DE LA ECONOMÍA. <Resolución derogada por el artículo 18 de la Resolución 1357 de 2022>
1. Formas de Colocación
Los “Títulos de Tesorería TES - Clase B para regular la liquidez de la economía” podrán ser colocados en el mercado primario en las siguientes formas:
1.1. Colocación por Subasta
Mediante este mecanismo, el Ministerio de Hacienda y Crédito Público - Dirección General de Crédito Público y Tesoro Nacional convocará a los agentes colocadores autorizados del mercado público de valores para presentar ofertas en términos de tasa de rendimiento y monto para cada uno de los “Títulos de Tesorería TES - Clase B para regular la liquidez de la economía” a colocar. Una vez establecidas las condiciones de tasa de rendimiento y precio de los títulos, de acuerdo a la modalidad de la subasta, se adjudicarán las ofertas hasta satisfacer el cupo de colocación anunciado previamente.
1.2. Colocación por Operación Convenida
Se denomina colocación convenida aquella suscripción de “Títulos de Tesorería TES - Clase B para regular la liquidez de la economía” en el mercado primario realizada con recursos públicos por parte de los administradores de recursos públicos y de las entidades públicas a las cuales les han sido aceptados sus excedentes de liquidez en moneda nacional por parte de la Dirección General de Crédito Público y Tesoro Nacional del Ministerio de Hacienda y Crédito Público.
Las entidades con las cuales se podrán suscribir los “Títulos de Tesorería TES - Clase B para regular la liquidez de la economía” del mercado primario mediante colocación Convenida serán todas aquellas entidades públicas diferentes a las descritas en el Capítulo II del Título 3 Parte 3 del Libro 2 del Decreto 1068 de 2015 y las demás normas que lo modifiquen, adicionen o deroguen. Tratándose de personas distintas a entidades públicas, podrán hacerlo las que administren recursos públicos, en los términos del primer inciso de este numeral.
Las condiciones de colocación de los “Títulos de Tesorería TES - Clase B para regular la liquidez de la economía” por colocación convenida serán las determinadas por la Dirección General de Crédito Público y Tesoro Nacional del Ministerio de Hacienda y Crédito Público, de acuerdo con las condiciones de mercado de los “Títulos de Tesorería TES - Clase B para regular la liquidez de la economía” vigentes al momento de la suscripción.
2. Recompra Anticipada
Los “Títulos de Tesorería TES - Clase B para regular la liquidez de la economía” no se podrán colocar con derecho de recompra anticipada.
ARTÍCULO 11. PROCEDIMIENTO DE COLOCACIÓN POR SUBASTA EN EL MERCADO PRIMARIO DE LOS “TÍTULOS DE TESORERÍA TES - CLASE B” QUE SE COLOQUEN EN EL MERCADO PRIMARIO, PARA REGULAR LA LIQUIDEZ DE LA ECONOMÍA. <Resolución derogada por el artículo 18 de la Resolución 1357 de 2022>
1. Agentes Colocadores
Los Agentes Colocadores de los “Títulos de Tesorería TES - Clase B para regular la liquidez de la economía” por el mecanismo de subasta son los agentes autorizados para la realización de Operaciones de Mercado Abierto (OMA) con el Banco de la República.
2. Tipo de Subasta
Las subastas serán de tipo “holandés” en las cuales el Ministerio de Hacienda y Crédito Público - Dirección General de Crédito Público y Tesoro Nacional establecerá las reglas para definir la tasa de corte y, dependiendo del cupo de colocación anunciado, se adjudicarán las ofertas cuya tasa sea menor o igual a esta.
3. Características de las Emisiones a Subastar
El Ministerio de Hacienda y Crédito Público - Dirección General de Crédito Público y Tesoro Nacional definirá, con anterioridad al día de convocatoria de la subasta, la fecha de emisión de los títulos a subastar. Así mismo, determinará el monto y el período de duración de cada emisión. Una vez agotado el monto de una emisión, el Ministerio de Hacienda y Crédito Público - Dirección General de Crédito Público y Tesoro Nacional anunciará la apertura de una nueva emisión o la ampliación del monto inicial.
4. Convocatoria de la Subasta
El Ministerio de Hacienda y Crédito Público - Dirección General de Crédito Público y Tesoro Nacional definirá para cada semana monetaria la fecha, los plazos y los montos en términos de valor de giro a subastar. El Banco de la República anunciará oportunamente las condiciones de monto y período de los “Títulos de Tesorería TES - Clase B para regular la liquidez de la economía” a subastar. La información anterior se anunciará vía SEBRA o, en caso de fallas en la comunicación de este sistema, se recurrirá a medios alternos de publicación que determine el Banco de la República o la Dirección General de Crédito Público y Tesoro Nacional del Ministerio de Hacienda y Crédito Público.
5. Cronograma de las Subastas
Las subastas de los “Títulos de Tesorería TES - Clase B para regular la liquidez de la economía” se realizarán preferiblemente los jueves de cada semana monetaria. En caso de que el día de la subasta corresponda a un día no hábil bancario, la subasta se realizaría al siguiente día hábil.
Se entiende por día no hábil bancario aquel en el cual el Banco de la República o el Ministerio de Hacienda y Crédito Público no presten sus servicios.
6. Reglas para la Presentación de Ofertas
Las ofertas presentadas por los Agentes Colocadores serán consideradas en firme y su presentación se deberá hacer con el lleno de los requisitos que a continuación se determinan:
6.1. Contenido de las Ofertas
Cada oferta deberá contener la siguiente información:
a) El valor nominal de los títulos que se desean suscribir, teniendo en cuenta el valor mínimo de expedición;
b) La tasa de interés efectiva anual a la cual se desea suscribir los títulos;
c) La ciudad en la cual se dará cumplimiento a la operación.
Cada Agente Colocador podrá presentar varias ofertas. No obstante, ninguna entidad podrá presentar una o más ofertas cuyo valor nominal total supere la cuantía del cupo anunciado previamente por el Banco de la República. En el caso de que ello suceda, la(s) última(s) oferta(s) presentada(s) que exceda(n) dicho cupo será(n) anulada(s).
De igual manera, ninguna entidad podrá presentar ofertas cuyo diferencial entre la tasa mínima y máxima de sus ofertas supere el diferencial máximo de tasas que previamente haya determinado la Dirección General de Crédito Público y Tesoro Nacional del Ministerio de Hacienda y Crédito Público. Se anularán las ofertas que excedan dicho diferencial de tasas.
Adicionalmente, si las ofertas se realizan a través del mecanismo alterno se podrán presentar hasta tres (3) ofertas por título a subastar.
6.2. Cuantía de las Ofertas
La cuantía mínima de cada oferta por agente colocador será de quinientos millones de pesos ($500.000.000) moneda legal colombiana.
En todo caso, el monto máximo de cada oferta estará limitado al valor amparado por la Póliza Global Bancaria del Banco de la República.
6.3. Horario de Presentación
El horario para la presentación de las ofertas será de 9:30 a. m. a 10:00 a. m. del día en el cual se realice la subasta.
6.4. Forma de Presentación
El Banco de la República recibirá vía SEBRA, por el aplicativo de subastas, las ofertas de los agentes autorizados en los horarios indicados anteriormente, las cuales no podrán ser modificadas ni revocadas.
Cuando un agente autorizado no pueda presentar sus ofertas vía SEBRA por el aplicativo de subastas, podrá hacerlo mediante uno de los mecanismos de contingencia. Para esto, antes del cierre del horario establecido para la operación, deberá reportar la situación excepcional al Centro de Soporte Informático del Banco de la República en el teléfono 3431000 y solicitar el número de la orden de servicio. Este número, así como el “login” de usuario de contingencia y el “token” de contingencia serán indispensables para poder utilizar los medios alternos (teléfono y fax). A través de los medios alternos solo se podrán presentar hasta tres (3) ofertas por cada referencia de TES y no podrán ser modificadas ni revocadas.
Estos son los mecanismos que podrán ser utilizados, en su respectivo orden:
a) Teléfono, utilizando el procedimiento establecido para transmisión segura de datos y claves suministradas por el “token” de contingencia, para lo cual la entidad se identificará con el respectivo “login” de usuario de contingencia, la clave del “token” de contingencia, y el número que genera el “token” de contingencia;
b) Fax, enviando el “Formato para Presentación de Ofertas” suministrado por el Banco de la República, relacionado en el artículo 12 de la presente Resolución, debidamente diligenciado y previa autorización del jefe de la Mesa de Dinero del Departamento de Operaciones y Desarrollo de Mercados. Para la recepción de las ofertas será indispensable el diligenciamiento de los campos “login” de usuario de contingencia y serial del “token” de contingencia. El fax debe ser enviado a uno de los siguientes números en Bogotá:
2840228 o 3431171
7. Adjudicación en la Subasta.
El Ministerio de Hacienda y Crédito Público - Dirección General de Crédito Público y Tesoro Nacional adjudicará la subasta a aquellas ofertas cuya tasa sea igual o inferior a la tasa de corte definida por el Banco de la República. Los participantes cuya oferta haya sido aprobada pagarán el mismo precio y obtendrán el rendimiento correspondiente a la tasa de corte.
Las ofertas se aprobarán hasta por el monto fijado por el Ministerio de Hacienda y Crédito Público - Dirección General de Crédito Público y Tesoro Nacional. Si el monto adjudicado es inferior al valor acumulado de las ofertas presentadas a la tasa de corte, se tendrán en cuenta los siguientes criterios:
a) Las ofertas presentadas a una tasa inferior a la tasa de corte serán aprobadas en su totalidad;
b) La diferencia frente al monto aprobado se prorrateará entre las ofertas presentadas a la misma tasa de corte, con base en el valor nominal de estas.
8. Resultado de la Subasta
Los resultados de la subasta serán comunicados a los Agentes Colocadores el mismo día hábil bancario al de recepción de las ofertas, una vez se cierre la respectiva subasta. Los resultados serán comunicados por el sistema SEBRA, SEN o vía telefónica.
Los resultados se podrán consultar telefónicamente en el Banco de la República, Subgerencia Monetaria y de Inversiones Internacionales en el teléfono 3430359 o en el Ministerio de Hacienda y Crédito Público - Dirección General de Crédito Público y Tesoro Nacional - Subdirección de Financiamiento Interno de la Nación en el teléfono 3812179.
En la comunicación de los resultados se indicará:
a) La tasa de corte de la subasta.
b) El valor costo demandado.
c) El valor costo aprobado.
9. Cumplimiento
Las ofertas que resulten aprobadas en la subasta deberán ser cumplidas irrevocablemente el mismo día de su realización. En todo caso, el cumplimiento se debe realizar necesariamente a través del sistema del Depósito Central de Valores (DCV) del Banco de la República, conforme el procedimiento y dentro del horario establecido por la reglamentación aplicable a este depósito.
Para todos los efectos se considera que el título fue colocado cuando el Banco de la República reciba los recursos correspondientes y el agente haya recibido los títulos en su cuenta. En todo caso, las operaciones de cumplimiento se rigen por el procedimiento establecido por el Departamento de Fiduciaria y Valores del Banco de la República.
La entrega de los respectivos certificados en los cuales consten los derechos de los títulos, se realizará en las oficinas del Banco de la República a través de las cuales las soliciten, previa solicitud del depositante directo.
CAPÍTULO IV
“Títulos de Tesorería TES - Clase B” que se coloquen en el mercado primario, destinados a efectuar Operaciones de Transferencia Temporal de Valores
ARTÍCULO 12. CARACTERÍSTICAS GENERALES Y ESPECIALES. <Resolución derogada por el artículo 18 de la Resolución 1357 de 2022>
1. Origen
Los “Títulos de Tesorería TES - Clase B” con plazo mayor a un (1) año, en adelante TES de Largo Plazo, son títulos de deuda pública interna de la Nación emitidos por el Gobierno Nacional - Ministerio de Hacienda y Crédito Público destinados a efectuar Operaciones de Transferencia Temporal de Valores de acuerdo con lo establecido en el artículo 6o de la Ley 51 de 1990 y demás normas concordantes y pertinentes.
2. Clase y Denominación
Los TES de Largo Plazo son emitidos a tasa fija o variable y denominados en moneda legal colombiana, en dólares de los Estados Unidos de América -USO- o en Unidades de Valor Real (UVR).
3. Conformación de los Títulos
Cada TES de Largo Plazo está conformado por el principal, que será amortizado al final del plazo, y por varios cupones de intereses anuales, según corresponda, Vg. dos (2) cupones para los de dos años, tres (3) cupones para los de tres años, etc.
4. Moneda de Liquidación y Pago
El principal y los intereses de los TES de Largo Plazo serán pagados en moneda legal colombiana.
5. Plazos de Emisión
Los TES de Largo Plazo destinados a efectuar Operaciones de Transferencia Temporal de Valores son emitidos con plazo mayor a un (1) año calendario. En todo caso, su redención y demás valores asociados, se atenderán con el producto de la operación de transferencia y no requerirán de operación presupuestal alguna.
6. Ley de Circulación
Son títulos “a la orden”, libremente negociables en el mercado secundario y cuando corresponda, los cupones de intereses también son libremente negociables. La transferencia de los valores que se encuentren en un depósito centralizado de valores se realizará a través de la correspondiente anotación en cuenta.
7. Inscripción
Están inscritos en la Bolsa de Valores de Colombia.
8. Homogeneidad
Las colocaciones sucesivas de TES de Largo Plazo de un determinado plazo de emisión tendrán iguales características de cupón, pago de intereses y de amortización del principal, siempre que su conformación lo permita, y se considerarán como parte de la misma emisión.
9. Descuponamiento
A voluntad del tenedor, el principal y el(los) cupón(es) de intereses de los TES de Largo Plazo a tasa fija denominados en pesos se podrán negociar en forma separada. Para las otras denominaciones y clases de TES de Largo Plazo no se permitirá el descuponamiento.
10. Rendimientos
Devengan intereses período vencido. La Nación no reconocerá intereses sobre los días no hábiles bancarios que transcurran entre el vencimiento de los títulos y su fecha de pago efectivo, cuando el vencimiento ocurra en días no hábiles bancarios.
En cada emisión, los intereses se calcularán desde el día siguiente al inicio del respectivo período y hasta el día pactado para su pago, empleando como base de conteo 365/365, que corresponde a años de 365 días, de doce (12) meses, con el período de días calendario que corresponda a cada mes, excepto para el mes de febrero, que corresponderá a veintiocho (28) días, inclusive para años bisiestos.
11. Precio
El precio de los TES de Largo Plazo es el valor presente de un título compuesto por el principal y el(los) cupón(es) de intereses equivalentes a cien (100) unidades de valor nominal, descontado a la tasa de rendimiento correspondiente, el día de cumplimiento de la operación respectiva.
El precio se expresará con tres (3) decimales y será el resultado de la siguiente expresión matemática:

Donde:
Precio: Es el valor presente de un título con valor nominal de 100 unidades descontado a una tasa de interés ie.
Tasa Cupón: Será el porcentaje con el cual se calculan los rendimientos periódicos de los títulos y corresponde a la tasa facial de los mismos.
ie: Será la tasa de rendimiento efectiva anual de los TES de Largo Plazo utilizada para la liquidación de la operación, expresada como porcentaje, con tres (3) decimales.
n: Será el número de días transcurridos entre la fecha de aprobación de la solicitud y el próximo pago de intereses del título.
N: Será el número de cupones de intereses del título pendientes de pago en la fecha de cumplimiento de la operación.
k: Variable que toma valores enteros entre 1 y N.
12. Rendimiento, Liquidación de Intereses y Precio de los TES de Largo Plazo a Tasa Variable
Los TES de Largo Plazo a tasa variable, cuya tasa de rendimiento está compuesta por la variación del índice de precios al consumidor más un porcentaje de rendimiento adicional o margen, serán denominados en moneda legal; su rendimiento, cupones de intereses y precio se calcularán conforme a continuación se determina:
12.1. Composición del Rendimiento.
El rendimiento de los TES de Largo Plazo a tasa variable es la tasa compuesta por:
a) El componente inflacionario que corresponde a la variación anual del Índice de Precios al Consumidor (IPC) publicado por el DANE para el mismo mes en que se realice el cumplimiento de la operación respectiva, y
b) El porcentaje de rendimiento adicional al componente inflacionario o margen.
La tasa de rendimiento será el resultado de la aplicación de la siguiente fórmula:
ie = (1 + IPC)*(1+Margen) – 1
Donde:
ie: Será la tasa de rendimiento efectiva anual de los TES de Largo Plazo, expresada como porcentaje.
IPC: Será el componente inflacionario vigente el día de cumplimiento de la operación.
Margen: Será el porcentaje de rendimiento utilizado para la liquidación de la operación, el cual no incorpora el componente inflacionario.
12.2. Forma de Liquidación del Cupón de Intereses
Los intereses se liquidan anualmente por periodos vencidos con base en la tasa compuesta por la variación de doce (12) meses del IPC publicado por el DANE para el mismo mes en que se realice el pago de rendimientos más el margen aprobado en la subasta. Si a las 5:30 p. m., del día hábil anterior a la fecha de exigibilidad del pago de los rendimientos, el DANE o la entidad competente no ha publicado oficialmente la variación anual del IPC, se tomará la última variación de doce (12) meses conocida.
La tasa para el cálculo de los cupones de intereses será obtenida con la aplicación de la siguiente fórmula:
Tasa Cupón = (1 + IPC)*(1+Margen) – 1
Donde:
Tasa Cupón: Será la tasa de interés con la cual se calculan los rendimientos periódicos de los títulos.
IPC: Será la variación de doce (12) meses del Índice de Precios al Consumidor publicado por el DANE, vigente en la fecha de exigibilidad de los rendimientos periódicos de los títulos.
Margen: Será el porcentaje de rendimiento utilizado para la liquidación de la operación, sin tener en cuenta el componente inflacionario.
12.3. Precio de los TES de Largo Plazo a Tasa Variable
Para calcular el precio de los TES de Largo Plazo a tasa variable se tomará la misma expresión matemática descrita en el numeral 11 del presente artículo, donde:
Precio: Es el valor presente de un título con valor nominal de 100 unidades descontado a una tasa de interés ie.
Tasa Cupón: Para efectos del cálculo del precio, el valor tanto del primero como de los siguientes cupones será calculado con base en la tasa compuesta por la variación del IPC de doce (12) meses publicado por el DANE vigente en la fecha de cumplimiento de la operación, más el margen de rendimiento adicional aprobado en la misma.
ie: Será la tasa de rendimiento efectiva anual de los TES de Largo Plazo, expresada como porcentaje, como se encuentra definida en el numeral 12.1 del presente artículo.
n: Será el número de días transcurridos entre la fecha de cumplimiento de la operación y el próximo pago de intereses del título.
N: Será el número de cupones de intereses del título pendientes de pago en la fecha de cumplimiento de la operación.
k: Variable que toma valores enteros entre 1 y N.
13. Valor de Expedición
El valor de expedición de los TES de Largo Plazo dependerá de la clase de título a colocar, como se señala a continuación:
13.1. Valor de Expedición de los TES de Largo Plazo a Tasa Fija y Variable Denominados en Pesos
Los TES de Largo Plazo denominados en moneda legal colombiana se expedirán en múltiplos de cien mil pesos ($100.000) y el valor mínimo del título principal será de quinientos mil pesos ($500.000) moneda legal colombiana.
13.2. Valor de Expedición de TES de Largo Plazo a Tasa Fija Denominados en Dólares
Los TES de Largo Plazo denominados en dólares de los Estados Unidos de América se expedirán en múltiplos de cien dólares de los Estados Unidos de América (US$100) y el valor mínimo del título principal será de mil dólares de los Estados Unidos de América (US$1.000).
13.3. Valor de Expedición de TES de Largo Plazo a Tasa Fija Denominados en UVR
Los TES de Largo Plazo denominados en Unidades de Valor Real (UVR) se expedirán en múltiplos de mil (1.000) UVR y el valor mínimo del título principal será de diez mil (10.000) UVR.
14. Valor de Liquidación
Los TES de Largo Plazo se liquidarán y pagarán en moneda legal colombiana de acuerdo a la clase y denominación del título. La Nación no reconocerá intereses sobre los días no hábiles bancarios que transcurran entre el vencimiento de los títulos y su fecha de pago efectivo cuando el vencimiento ocurra en días no hábiles bancarios.
El valor de liquidación de los TES de Largo Plazo se obtendrá conforme se señala a continuación:
14.1. Valor de Liquidación de TES de Largo Plazo a Tasa Fija y Variable Denominados en Pesos
El valor de liquidación en moneda legal colombiana de los TES de Largo Plazo a tasa fija y variable denominados en pesos será el resultado de multiplicar el valor nominal de los títulos por su precio, dividiendo este último en cien (100).
14.2. Valor de Liquidación de TES de Largo Plazo a Tasa Fija denominados en dólares
El valor de liquidación en moneda legal colombiana de los TES de Largo Plazo a tasa fija denominados en dólares será el resultado de multiplicar el valor nominal de los títulos por su precio, dividiendo este último en cien (100) y, por la Tasa Representativa del Mercado (TRM) vigente el día de cumplimiento de las ofertas.
14.3. Valor de Liquidación de TES de Largo Plazo a Tasa Fija denominados en UVR
El valor de liquidación en moneda legal colombiana de los TES de Largo Plazo a tasa fija denominados en UVR será el resultado de multiplicar el valor nominal de los títulos por su precio, dividiendo este último en cien (100), y por la UVR vigente el día de cumplimiento de las ofertas.
15. Expedición y Administración
Los TES de Largo Plazo, tanto el principal como los cupones de intereses, serán expedidos y administrados exclusivamente a través del Depósito Central de Valores (DCV) del Banco de la República y por tanto les serán aplicables las disposiciones pertinentes del mismo.
El Banco de la República actúa únicamente en calidad de administrador de los títulos y en ningún caso como garante de los mismos.
Los costos que se causen por el uso del Depósito Central de Valores (DCV) serán pagados por la Nación - Ministerio de Hacienda y Crédito Público.
16. Prescripción de Derechos
La prescripción de los derechos incorporados en los TES de Largo Plazo y la caducidad de las acciones judiciales para exigir tales derechos se regirán por las normas legales vigentes y especialmente por lo establecido en el artículo 17 de la Ley 185 de 1995.
17. Tratamiento Tributario de los Rendimientos
Sobre los intereses que generen los títulos, el Depósito Central de Valores (DCV) del Banco de la República realizará la respectiva retención en la fuente de acuerdo con las normas legales vigentes. De igual forma, si se colocan primariamente con descuento, el Banco de la República efectuará la retención en la fuente a que haya lugar por concepto del descuento sobre los rendimientos financieros.
ARTÍCULO 13. FORMA DE COLOCACIÓN EN EL MERCADO PRIMARIO DE LOS “TÍTULOS DE TESORERÍA TES - CLASE B”, DESTINADOS A EFECTUAR OPERACIONES DE TRANSFERENCIA TEMPORAL DE VALORES. <Resolución derogada por el artículo 18 de la Resolución 1357 de 2022>
1. Colocación por Operación de Transferencia Temporal de Valores
Mediante este mecanismo, el Ministerio de Hacienda y Crédito Público - Dirección General de Crédito Público y Tesoro Nacional, actuando como originador, podrá emitir TES de Largo Plazo, por demanda, destinados a efectuar Operaciones de Transferencia Temporal de Valores con los agentes autorizados del mercado público de valores, quienes actuarán como receptores, con el acuerdo de retransferirlos en una fecha posterior. De manera concomitante, los agentes autorizados del mercado público de valores transferirán al Ministerio de Hacienda y Crédito Público - Dirección General de Crédito Público y Tesoro Nacional la propiedad sobre una suma de dinero mayor al de los valores objeto de la operación.
El agente receptor asumirá un costo, el cual se descontará en el momento de la reversión de la operación, cuando el Ministerio de Hacienda y Crédito Público - Dirección General de Crédito Público y Tesoro Nacional devuelva la propiedad sobre el dinero restando el valor del costo asumido.
Las tasas de costo de la Operación de Transferencia Temporal de Valores serán determinadas por la Dirección General de Crédito Público y Tesoro Nacional de manera mensual para cada agente autorizado y para cada referencia de Títulos de Tesorería TES - Clase B emitida, y será informada a cada uno de los agentes mediante correo electrónico. Las solicitudes presentadas se aprobarán hasta agotar el cupo máximo autorizado en cada vigencia para esta operación, o hasta agotar el cupo establecido por la Dirección General de Crédito Público y Tesoro Nacional para cada emisión de TES de Largo Plazo destinados a efectuar Transferencia Temporal de Valores, el cual en ningún caso será mayor al cupo máximo autorizado en cada vigencia.
PARÁGRAFO. El cupo determinado por la Dirección General de Crédito Público y Tesoro Nacional para cada emisión de TES de Largo Plazo destinados a efectuar Operaciones de Transferencia Temporal de Valores podrá modificarse una vez se cumpla con las autorizaciones requeridas para tal efecto.
ARTÍCULO 14. PROCEDIMIENTO DE COLOCACIÓN EN EL MERCADO PRIMARIO DE LOS “TÍTULOS DE TESORERÍA TES - CLASE B”, DESTINADOS A EFECTUAR OPERACIONES DE TRANSFERENCIA TEMPORAL DE VALORES. <Resolución derogada por el artículo 18 de la Resolución 1357 de 2022>
1. Agentes Autorizados
Los Agentes Autorizados para realizar Operaciones de Transferencia Temporal de Valores con TES de Largo Plazo con el Ministerio de Hacienda y Crédito Público - Dirección General de Crédito Público y Tesoro Nacional, son los establecimientos bancarios, las corporaciones financieras y las sociedades comisionistas de bolsa que hayan sido designados como Creadores de Mercado por el Ministerio de Hacienda y Crédito Público - Dirección General de Crédito Público y Tesoro Nacional, para la respectiva vigencia.
2. Plazo de las Operaciones de Transferencia Temporal de Valores
El plazo de las Operaciones de Transferencia Temporal de Valores será hasta el día hábil siguiente al día en que se aprobó la solicitud de la operación.
3. Reglas para la Presentación de Solicitudes
Las solicitudes al Ministerio de Hacienda y Crédito Público - Dirección General de Crédito Público y Tesoro Nacional para realizar Operaciones de Transferencia Temporal de Valores con TES de Largo Plazo presentadas por los Creadores de Mercado serán consideradas vinculantes para quien las realice y se deberán hacer especificando la información que a continuación se determina:
3.1. Contenido de las Solicitudes
Cada solicitud para realizar operaciones de Transferencia Temporal de Valores con TES de Largo Plazo deberá contener la siguiente información:
a) La referencia de los TES de Largo Plazo que se desea recibir en la Operación de Transferencia Temporal de Valores;
b) El valor nominal de los títulos que se desea recibir en la Operación de Transferencia Temporal de Valores, teniendo en cuenta en cada caso los valores mínimos y múltiplos de expedición;
c) La cuenta de valores donde debe ser depositado el título a recibir;
d) La cuenta CUD del agente receptor de donde salen los recursos en efectivo;
d) La tasa de costo de la Operación de Transferencia Temporal de Valores previamente informada a cada entidad por parte de la Dirección General de Crédito Público y Tesoro Nacional para el título objeto de solicitud;
e) El Haircut establecido por el MHCP en la operación de solicitud para cubrir el riesgo de incumplimiento, el cual se describe en el numeral 5 del presente artículo.
Cada Creador de Mercado podrá presentar varias solicitudes. No obstante, estas se deberán sujetar a los parámetros establecidos con respecto a los cupos máximos de emisión por concepto de Operaciones de Transferencia Temporal de Valores establecidos en el numeral 3.2 Cupos Máximos de Emisión por Operaciones de Transferencia Temporal de Valores.
3.2. Cupos Máximos de Emisión por Operaciones de Transferencia Temporal de Valores
Las solicitudes de Operaciones de Transferencia Temporal de Valores presentadas por los Creadores de Mercado deberán sujetarse a los siguientes parámetros en términos de valor nominal:
a) La sumatoria de las solicitudes de los Creadores de Mercado no podrá superar el cupo total de TES de Largo Plazo destinados a realizar Operaciones de Transferencia Temporal de Valores para la vigencia correspondiente. En el caso de superar este cupo, la(s) última(s) solicitud(es) presentada(s) que exceda(n) dicho cupo será(n) anulada(s);
b) La sumatoria de las solicitudes de cada Creador de Mercado realizadas sobre referencias de TES de Largo Plazo que debido a su monto de emisión vigente no se encuentren en el grupo de Títulos de Cotización Obligatoria, no podrá superar la cuantía del cupo total asignado a cada Creador de Mercado, que corresponderá a su asignación máxima en la subasta no competitiva de TES, el cual será informado previamente a cada entidad por la Dirección General de Crédito Público y Tesoro Nacional. En el caso de superar esta cuantía, la(s) última(s) solicitud(es) presentada(s) que exceda(n) dicho cupo será(n) anulada(s).
Sin perjuicio de los eventos señalados en los literales (a) y (b) del presente numeral, la Dirección General de Crédito Público y Tesoro Nacional observará que ninguna solicitud supere la cuantía del cupo total establecido para cada emisión, en cuyo caso la(s) última(s) solicitud(es) presentada(s) que exceda(n) dicho cupo será(n) anulada(s). No se aprobarán solicitudes parciales.
3.3. Cuantía de las Solicitudes
La cuantía mínima de cada solicitud por Creador de Mercado según la denominación del título será:
a) Para TES de Largo Plazo a tasa fija y variable denominados en pesos, de quinientos mil pesos ($500.000) moneda legal colombiana;
b) Para títulos denominados en dólares de los Estados Unidos de América, de mil dólares de los Estados Unidos de América (US$1.000);
c) Para títulos denominados en UVR, de diez mil (10.000) UVR.
En todo caso, el monto máximo de cada oferta estará limitado al valor amparado por la Póliza Global Bancaria del Banco de la República.
3.4. Horario de Presentación de Solicitudes
La presentación de solicitudes al Ministerio de Hacienda y Crédito Público - Dirección General de Crédito Público y Tesoro Nacional para realizar Operaciones de Transferencia Temporal de Valores con TES de Largo Plazo, estará habilitada en dos ventanas horarias para los días hábiles bancarios:
| Primera Ventana | Segunda Ventana |
| Entre 3:30 p. m. y 4:00 p. m. | Después de las 4:00 p. m. - hasta el cierre del DCV |
Cada ventana horaria tendrá una tasa de costo diferenciada de acuerdo con lo establecido en el numeral 5 del presente artículo.
Nota: No se podrán solicitar Operaciones de Transferencia Temporal de Valores sobre TES de Largo Plazo, durante los 5 días hábiles previos al pago de su cupón o de su principal.
3.5. Forma de Presentación
El Ministerio de Hacienda y Crédito Público - Dirección General de Crédito Público y Tesoro Nacional recibirá vía SEBRA, por el aplicativo del Depósito Central de Valores (DCV) las solicitudes de los Creadores de Mercado en los horarios indicados anteriormente, las cuales no podrán ser modificadas ni revocadas.
4. Aprobación de Solicitudes
Las solicitudes presentadas en los horarios establecidos en el numeral 3.4. del presente artículo que cumplan con las condiciones de contenido, cupos máximos y cuantía mínima, serán aprobadas por el Ministerio de Hacienda y Crédito Público - Dirección General de Crédito Público y Tesoro Nacional.
Las solicitudes se aprobarán hasta por el cupo máximo fijado por el Ministerio de Hacienda y Crédito Público - Dirección General de Crédito Público y Tesoro Nacional para cada vigencia.
Nota: No se realizarán aprobaciones de solicitudes en la segunda ventana horaria hasta tanto se hayan aprobado todas las solicitudes realizadas en la primera ventana horaria.
5. Costo de las Operaciones de Transferencia Temporal de Valores
Para calcular el efectivo que deberá entregar el Creador de Mercado (CM) en las Operaciones de Transferencia Temporal de Valores se utilizará la siguiente fórmula:
![]()
Donde:
Nominal: Corresponde al monto de un título específico solicitado en calidad de préstamo por un Creador de Mercado.
Precio Sucio: Valor que alcanza un título en una fecha específica. Este valor será informado por el proveedor de precios.
tc: Tasa de cambio correspondiente al valor del Dólar o de la UVR del día de la solicitud.
Haircut: Monto de cobro adicional en t+0 para mitigar el riesgo de mercado, el cual será definido por el Ministerio de Hacienda y Crédito Público - Dirección General de Crédito Público y Tesoro Nacional.
Nota: Cuando los títulos objeto de la operación estén denominados en pesos, el valor de la tc será igual a 1.
El cálculo de la tasa de costo de las Operaciones de Transferencia Temporal de Valores se realizará con la aplicación de la siguiente fórmula:
Tasa de Costo = -[((1 + IBR%on) * (1+ Margen %)) - 1]
Nota: Cuando la operación se lleve a cabo en la ventana horaria de 3:30 p. m. a 4:00 p. m. el valor de la IBR%on será igual a 0% (cero).
Donde:
IBR%on: Indicador Bancario de Referencia reportado por Banco de la República.
Margen%: Costo adicional asociado a la transacción que se asigna según la posición en el ranking secundario vigente del Creador de Mercado.
Nota: La tasa IBR% ovemight y el Margen son tasas efectivas anuales.
Efectivo recibido por CMt+1 = Efectivo entregad o por CMt+0 * (1 + Tasa de Costo)^(Plazo/365)
6. Cumplimiento
Las solicitudes de Operaciones de Transferencia Temporal de Valores que sean aprobadas por el Ministerio de Hacienda y Crédito Público - Dirección General de Crédito Público y Tesoro Nacional deberán ser cumplidas irrevocablemente el mismo día de su realización. En todo caso, el cumplimiento se debe realizar necesariamente a través del sistema del Depósito Central de Valores (DCV) del Banco de la República, conforme al procedimiento y dentro del horario establecido por la reglamentación aplicable a este depósito.
Para todos los efectos se considera que el título fue colocado y la Operación de Transferencia Temporal de Valores Liquidada, cuando el Banco de la República reciba los recursos correspondientes y el agente haya recibido los títulos en su cuenta. El cumplimiento de las operaciones de Transferencia Temporal de Valores solicitadas en la primera ventana horaria descrita en el numeral 3.4 del presente artículo, deberá realizarse a más tardar a las 4:15 p. m. del día en que se realice la solicitud. En todo caso, las operaciones de cumplimiento se rigen por el procedimiento establecido por el Departamento de Fiduciaria y Valores del Banco de la República.
La entrega de los respectivos certificados en los cuales consten los derechos de los títulos, se realizará conforme al procedimiento establecido en el citado reglamento del Depósito Central de Valores (DCV).
7. Retrocesión
Una vez cumplido el plazo de la Operación de Transferencia Temporal de Valores, el Creador de Mercado devolverá a la Nación los títulos expedidos en el marco de la operación, y la Nación retornará el valor del colateral en efectivo descontando el costo de la misma.
Los títulos retornados a la Nación se declararán de plazo vencido. Lo anterior, sin perjuicio de que el Creador de Mercado pueda solicitar una nueva Operación de Transferencia Temporal de Valores para la misma referencia asumiendo nuevas condiciones de negociación.
La operación de retrocesión deberá ser cumplida en el Depósito Central de Valores (DCV) del Banco de la República a más tardar a las 8:00 p. m.
CAPÍTULO V
Disposiciones Generales y Vigencia
ARTÍCULO 15. FORMATO PARA PRESENTACIÓN DE OFERTAS EN LA COLOCACIÓN POR SUBASTA. <Resolución derogada por el artículo 18 de la Resolución 1357 de 2022> Las ofertas que se presenten vía facsímile o en forma escrita se deberán realizar utilizando el formato relacionado en el Anexo Técnico número 1, de la presente Resolución.
ARTÍCULO 16. CONSECUENCIAS DEL INCUMPLIMIENTO EN LA COLOCACIÓN DE “TÍTULOS DE TESORERÍA TES - CLASE B” DEL MERCADO PRIMARIO. <Resolución derogada por el artículo 18 de la Resolución 1357 de 2022>
1. Consecuencias de Incumplimiento en Colocación por Subasta
Sin perjuicio de lo dispuesto en la Resolución número 5112 de 2018 de la Dirección General de Crédito Público y Tesoro Nacional del Ministerio de Hacienda y Crédito Público o las demás normas que la modifiquen, adicionen o deroguen, ante el incumplimiento de una oferta por parte de un Agente Colocador mediante el mecanismo de Subasta, la Nación - Ministerio de Hacienda y Crédito Público se podrá abstener de contratar la colocación de TES por subastas con la entidad en cuestión durante el plazo remanente del año calendario en curso y los dos (2) siguientes.
Sin perjuicio de lo anterior, la Dirección General de Crédito Público y Tesoro Nacional del Ministerio de Hacienda y Crédito Público procederá a tomar las medidas que considere pertinentes en relación con la entidad en cuestión.
2. Consecuencia de Incumplimiento en Colocación por Operación Forzosa o Convenida
Sin perjuicio de las medidas que pueda tomar la Dirección General de Crédito Público y Tesoro Nacional del Ministerio de Hacienda y Crédito Público en relación con la entidad pública que haya incumplido una operación de colocación, se procederá a informar a los organismos de control fiscal y disciplinario para que conozcan del caso e indaguen sobre los procedimientos internos de manejo de recursos públicos.
3. Consecuencia de Incumplimiento en Colocación por Operación de Transferencia Temporal de Valores
Sin perjuicio de lo dispuesto en la Resolución 5112 de 2018 de la Dirección General de Crédito Público y Tesoro Nacional del Ministerio de Hacienda y Crédito Público o las demás normas que la modifiquen, adicionen o deroguen, ante el incumplimiento de una colocación por concepto de una Operación de Transferencia Temporal de Valores, el Creador de Mercado dejará de participar en el Programa de Creadores de Mercado para Títulos de Deuda Pública en forma temporal o definitiva durante la respectiva vigencia así:
1. Ante el primer incumplimiento: Suspensión de su derecho a acceder a las siguientes cuatro (4) Colocaciones No Competitivas.
2. Ante el segundo incumplimiento: Suspensión de su participación en el Programa de Creadores de Mercado para Títulos de Deuda Pública por cuatro (4) semanas consecutivas.
3. Ante el tercer incumplimiento: Terminación definitiva de su participación en el PCMTDP por la vigencia correspondiente.
Sin perjuicio de lo anterior, la Dirección General de Crédito Público y Tesoro Nacional del Ministerio de Hacienda y Crédito Público procederá a tomar las medidas que considere pertinentes en relación con la entidad en cuestión.
ARTÍCULO 17. CONSECUENCIAS DEL INCUMPLIMIENTO EN LA RETROCESIÓN DE LAS OPERACIONES DE TRANSFERENCIA TEMPORAL DE VALORES. <Resolución derogada por el artículo 18 de la Resolución 1357 de 2022> Sin perjuicio de lo dispuesto en la Resolución número 5112 de 2018 de la Dirección General de Crédito Público y Tesoro Nacional del Ministerio de Hacienda y Crédito Público o las demás normas que la modifiquen, adicionen o deroguen, ante el incumplimiento de la retrocesión de una Operación de Transferencia Temporal de Valores, la Nación - Ministerio de Hacienda y Crédito Público actuará de acuerdo a lo establecido en los literales a) y c) del artículo 2.36.3.1.8 del Decreto 2555 de 2010.
Ante el incumplimiento en la retrocesión de las Operaciones de Transferencia Temporal de Valores, el Creador de Mercado dejará de participar en el Programa de Creadores de Mercado para Títulos de Deuda Pública en forma temporal o definitiva durante la respectiva vigencia así:
1. Ante el primer incumplimiento: Suspensión de su derecho a acceder a las siguientes cuatro (4) Colocaciones No Competitivas.
2. Ante el segundo incumplimiento: Suspensión de su participación en el Programa de Creadores de Mercado para Títulos de Deuda Pública por cuatro (4) semanas consecutivas.
3. Ante el tercer incumplimiento: Terminación definitiva de su participación en el Programa de Creadores de Mercado para Títulos de Deuda Pública por la vigencia correspondiente.
Sin perjuicio de lo anterior, la Dirección General de Crédito Público y Tesoro Nacional del Ministerio de Hacienda y Crédito Público procederá a tomar las medidas que considere pertinentes en relación con la entidad en cuestión.
ARTÍCULO 18. VIGENCIAS Y DEROGATORIAS. La presente Resolución deroga la Resolución 5113 de 2018, de la Dirección General de Crédito Público y Tesoro Nacional del Ministerio de Hacienda y Crédito Público y demás normas que le sean contrarias y rige a partir de la fecha de su publicación en el Diario Oficial.
Publíquese, comuníquese y cúmplase.
Dada en Bogotá, D. C., a 14 de noviembre de 2019.
El Director General de Crédito Público y Tesoro Nacional,
César Augusto Arias Hernández.
Formato para Presentación de Ofertas en la Colocación por Subasta
